一、实验室定位
低维量子材料由于其独特的能带特征,可以实现传统材料不具有的新奇性能,在信息、光电、微电子、原子制造和空间技术等前沿科技领域有巨大的应用价值。材料的高质量、低成本、规模化制备是其工程应用的前提。周家东教授团队聚焦最具有应用前景的新型二维半导体及量子材料,系统开展材料的可控制备、新奇物性调控、光电器件集成等应用基础研究,面向高性能存储计算、超灵敏探测及柔性可穿戴电子器件等实际应用构建关键技术能力,以满足国家重大战略需求、推动粤港澳大湾区产业经济发展和支持学校“双一流”发展。
二、学科建设
拟通过信息、数理、材料、工程、生命等多学科的交叉融合,面向未来芯片算力问题,聚焦芯片领域发展前沿,提升新型材料研究水平和技术研发能力,支撑光电探测器件和智能传感器件的自主设计和市场化,促进变革型基础器件、集成设计方法和新型计算架构的诞生,组建一支有国际影响力的研究队伍,培养材料及基础器件领域的后备力量,提升我国相关领域的自主创新能力和国际地位。
三、研究方向
(1)二维功能量子材料的规模化制备与新奇物性探索
材料的高质量、低成本、规模化制备是其工程应用的前提条件。现阶段二维量子材料、二维半导体材料仍然面临材料制备方面的桎梏。团队将根据二维材料物性的特点,选取合适的生长方法,从原子尺度阐明其生长机制,实现高质量、大尺寸、高产率的二维量子材料规模化制备,为后续量子现象研究和新型器件的构建提供材料保障,为二维半导体的产业化应用提供基础。
拓扑量子材料由于非平庸的能带结构表现出奇特的光电及电磁响应,已报道的二维量子材料的新奇物理性质有铁磁、铁电、超导、反常霍尔效应、巨大的光伏效应等。这些新奇的特性,在未来高性能的计算存储器件以及超灵敏探测器等领域中具有巨大应用价值。持续挖掘新型功能量子材料中的新奇物性对于构建颠覆性电子器件具有重要意义,基于以上目标,团队将搭建世界领先的光电探测及极端条件电磁输运实验平台,从光电两个方面进行探索和调控二维功能量子材料中的奇异量子现象。

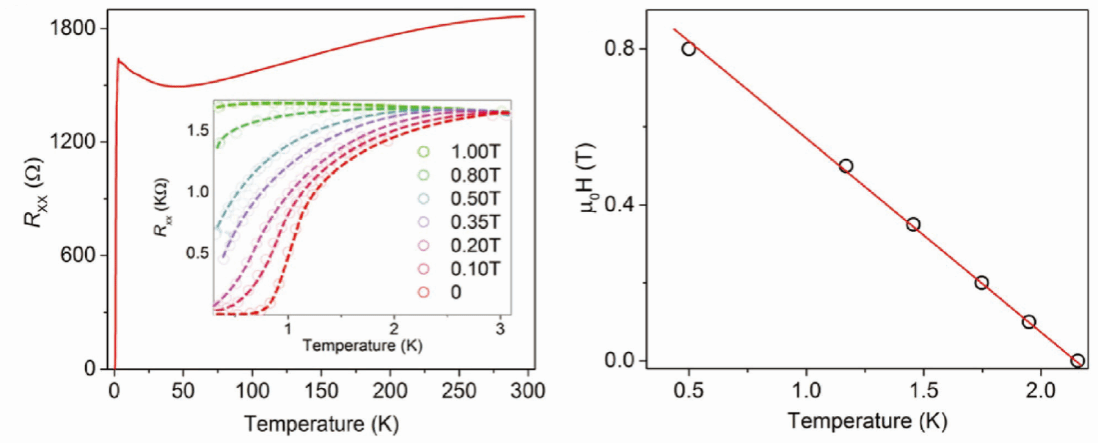
二维MoTe2中的超导特性
(2)基于二维功能量子材料原型器件和智能探测技术
据研究表明,二维量子材料在红外光电探测器件、智能传感器件、存储计算器件、自旋电子器件、柔性器件和光催化器件等领域具有重要的应用优势。团队将基于制备的新型量子、半导体材料及其异质结构开发新型的光电子原型器件,基于二维光伏器件构建的光电探测器可以模拟视网膜中对目标的选择和识别功能,可以在机器视觉、智能识别等领域中发展广泛的应用。结合材料自身的优势,针对其工程应用中的关键问题进行研究,推动二维量子材料的产业化进程。

(3)量子功能材料柔性可穿戴器件应用开发
结合量子功能材料和柔性可穿戴技术,开发高灵敏、低功耗的柔性可穿戴设备的创新技术,并将电子元件集成到柔性的、可弯曲的材料中,使其能够贴合人体曲线并与身体接触,实现舒适、自然的穿戴体验。

四、团队成员

周家东 团队负责人、北京理工大学物理学院教授、博导、北京市杰青、国家级高层次青年人才;荣获北京市教学育人先锋,材料基因青年科学家奖和Materials Today Rising Award等奖项。
2017年于新加坡南洋理工大学取得博士学位,师从刘政教授。2018-2020年于南洋理工大学进行博士后研究。长期从事二维半导体、量子材料的可控制备,结构构筑,新奇物性(铁磁、铁电、超导等)探索及其在光电器件,自旋电子学器件领域的应用研究。发展了二维材料的通用制备方法,推动了二维材料新奇物性及其晶圆单晶的制备研究。发展了二维材料相与组分的普适性制备方法,实现了多组分、多种类铁磁、超导与反铁磁及其异质结构的可控制备,开拓了异维超结构的制备领域。近年来发表SCI论文100 余篇,其中Nature系列14篇,包括第一/通讯作者论文Nature(2篇),Nat. Mater.(1篇),Nat. Electron.(1篇),Nat. Commun.(2篇), Sci. Adv.,Adv. Mater., Nano Lett., JACS, ACS Nano 等。目前担任Chinese Chemical Letters编委,Materials Horizons,Rare Metals,SmartMat,Nano Research等期刊青年编委。

周遥 教授
长期致力于低贵金属含量/非贵金属低维电催化剂的精准设计与快速开发,针对新型纳米/低维催化剂精准设计,结合高通量快速制备方法,实现了对催化剂/电极材料本征活性、稳定性及耐腐蚀性等关键技术参数的大幅度提高。先后作为项目负责人和主要参与者完成了科技部重点研发计划、国家自然科学基金委、JKW、北京市/上海市自然基金、朗月计划等重要科研项目。共发表国际SCI期刊论文 57 篇,影响因子大于 10 的论文26 篇,已授权专利3项。其中以第一作者/通讯作者/共同第一作者身份发表论文 24 篇,包括Nat. Mater, Nat. Commun, Adv. Mater, Adv. Funct. Mater., ACS Nano, Energy Environ. Sci, Adv. Sic., Mater. Today等本领域顶级期刊。获聘Catalysts编委,Chinese Chemical Letters、Nano-Micro Letters、Rare Metals等期刊青年编委。

郑守君 副教授、特别研究员
2018年于新加坡南洋理工大学取得博士学位。2018-2021年于成均馆大学、韩国科学技术院进行博士后研究。主要从事低维材料及其异质结的制备及其光电性能研究,包括量子隧穿效应、体光伏效应、铁电效应、低温输运特性、转角电子学等。以第一作者或共同一作在Adv. Mater., Nano Lett., InfoMat, Adv. Funct. Mater., Nanoscale, Adv. Opt. Mater., Appl. Phys. Lett., Opt. Express, Opt. Mater. Express等国际重要期刊上发表学术论文总共30篇,论文累计引用1100余次。

傅群东 教授
2019年于新加坡南洋理工大学取得博士学位。2019-2024年于南洋理工大学、法国国家科学研究中心-泰雷斯-南洋理工大学联合研究中心进行博士后研究。2025年入职北京理工大学珠海校区。主要从事新型二维电子材料的合成与应用,以第一作者在高水平期刊Adv. Mater. (2篇), Small, Chem. Mater.等期刊发表论文8篇,以合作者身份在Nature(2), Nat. Electron.(1), Nat. Commun.(4), Adv. Mater.(5), J. Am. Chem. Soc.(1)等期刊发表研究论文40余篇。被引次数达到5588次,h因子为31。先后参与了新加坡NRF,MOE Tier2,CRP等科研项目。

黄祥威 助理教授
2022年于瑞士洛桑联邦理工学院取得博士学位,随后就职于华为海思半导体任高级研发工程师,2025年入职北京理工大学珠海校区。主要从事量子材料在极低温强磁场下的电磁输运以及基于新物理原理的半导体原型器件研究。以第一(共同)作者和通讯(共同)作者身份在 Nat. Commun., Adv. Mater., Chem. Soc. Rev., Phys. Rev. B等期刊上发表论文多篇,合作发表两篇Nature, 论文总引用超过 3000 次,作为主要完成人参与欧洲研究委员会基金项目一项。

沈洋 副教授
2008年于四川大学取得硕士学位。主要研究方向包括物理学相关传感技术及其检测方法、电磁检测技术及其应用等,主持或主要参与教科研项目17项,第一或通信作者发表教科研论文20余篇。广东省无损检测学会理事、珠海市无损检测学会副理事长。

郑亚琴 讲师
2010年于辽宁工业大学取得硕士学位。主要研究方向包括智能控制理论及方法、微分方程的数值解等,主持或主要参与教科研项目13项,以第一作者发表教科研论文12篇,2022年12月荣获教学创新大赛院级二等奖。
五、研究成果
Selected Publications:
(1)二维半导体的可控制备
1. 发展了普适的熔盐辅助化学气相沉积方法,并实现了47种二维材料的可控制备,涵盖了32种二元化合物,13种合金化合物以及2种异质结构化合物。

Zhou JD, Lin JH*, Huang XW, Zhou Y, Chen Y, Xia J, Wang H, Xie Y, Yu HM, Lei JC, Wu D, Liu FC, Fu QD, Zeng QS, Hsu CH, Yang, Cl, Lu L, Yu T, Shen ZX, Lin H, Yakobson, BI, Liu Q, Suenaga K. Liu GT*, Liu Z*. A library of atomically thin metal chalcogenides. Nature 2018, 556, 355-359. (影响因子:69.5)
2. 提出了一种基于竞争化学反应的生长机理,并实现了67种确定相、可控结构和可调组分的二维硫族及磷硫化合物。

Zhou JD*, Zhu C, Zhou Y, Dong JC, Li PL, Zhang ZW, Wang Z, Lin YC, Shi J, Zhang RW, Zheng YZ, Yu HM, Tang BJ, Liu FC, Wang L, Liu LW, Liu GB, Hu WD, Gao YF, Yang HT, Gao WB, Lu L, Wang YL*, Suenage K, Liu GT, Ding F, Yao YG*, Liu Z*. Composition and phase engineering of metal chalcogenides and phosphorous chalcogenides. Nature Materials 2023, 22, 450-458. (影响因子:47.66)
(2)二维量子材料新奇物性研究
1. 首次提出并构筑出一种全新的异维超结构物质VS2-VS,并观察到室温面内反常反常霍尔效应,推动不同维度物质之间的耦合,为新奇物性研究提供平台。

Zhou JD*, Zhang WJ, Lin YC, Cao J, Zhou Y, Jiang W, Du HF, Tang BJ, Shi J, Jiang BY, Cao X, Lin B, Fu QD, Zhu C, Guo W, Huang YZ, Yao Y, Parkin SS, Zhou JH, Gao YF, Wang YL, Hou YL, Yao YG*, Suenaga K*, Wu XS*, Liu Z*. Heterodimensional superlattice with in-plane anomalous Hall effect. Nature 2022, 609, 46-51. (影响因子: 69.5)
2. 实现了稳定的磁性材料Cr5Te8的制备与相的调控,并观察到大的反常霍尔角与反常霍尔电导率。

Tang BJ, Wang XW, Han MJ, Xu XD, Zhang ZW, Zhu C, Cao X,Yang YM, Fu QD, Yang JQ, Li XJ, Gao WB, Zhou JD*, Lin JH*, Liu Z*. Phase engineering of Cr5Te8 with colossal anomalous Hall effect. Nature Electronics 2022, 5, 224–232. (影响因子:33.26)
六、实验设备
本实验设备涵盖材料生长制备,器件微纳加工,光学表征和极低温输运测量几个方面。主要设备
如下:
