北理工官网
在校生
教职工
教学日历
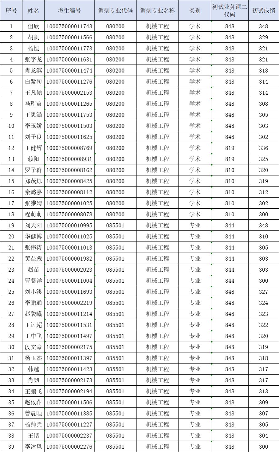
北京理工大学(珠海)2025年硕士研究生机械工程专业调剂复试名单公示
时间:2025-04-08
文:
图:
来源:
编辑:
审核:
上一篇:北京理工大学(珠海)2025年硕士研究生材料科学与工程、动力工程及工程热物理、信息与通信工程专业调剂复试名单公示
下一篇:北京理工大学(珠海)2025年硕士研究生控制科学与工程、集成电路工程、人工智能专业调剂复试名单公示
27
第十一届中国研究生未来飞行器创新大赛在北京理工大学(珠海)举行
16
北京理工大学(珠海)RISC-V政产学研用示范基地正式揭牌启动
09
北京理工大学珠海校区召开全体党员大会
31
北京理工大学(珠海)党委理论学习中心组专题学习党的二十届四中全会精神
25
俄罗斯国立鲍曼技术大学访问团到访北京理工大学(珠海)
15
珠海校区举行2025级新生代表座谈会
本科生招生
研究生招生
人才招聘
北理工新闻网
办公系统
信息公开
校友会
联系我们
领导信箱
地址:广东省珠海市唐家湾金凤路6号 邮编:519088 邮箱:zhbit@bitzh.edu.cn 版权所有©北京理工大学(珠海) 京ICP备10019879号-1